多模光纤耦合

2023-11-04
1. 光纤的概念
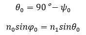
光纤的基础是全内反射,如图1所示,光线以大于临界角的角度入射在高低折射材料的界面上将发生全内反射。

图片

1:全内反射示意图
光纤使用折射率相差很小的两种玻璃,中心部分是纤芯,外围包裹的叫做包层。纤芯的折射率比包层略大,两者的折射率相差一般小于1%。纤芯和包层构成柱面波导,而光在界面上发生全内反射。
2. 均匀折射率光纤的光线理论
可以用几何光学的方法(即光线理论)来处理光波在阶跃折射率光纤中的传输特性。
1)子午光线的传播
通过光纤中心轴的任何平面都称为子午面,位于子午面内的光线则称为子午光线。显然,子午面有无数个。
根据光的反射定律:入射光线、反射光线和分界面的法线均在同一平面,光线在光纤的芯一包分界面反射时,其分界面法线就是纤芯的半径。因此,子午光线的入射光线、反射光线和分界面的法线三者均在子午面内,如图2所示,这是子午光线传播的特点。

图片

2:子午光线的全反射

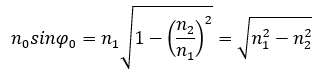
由图2可求出子午光线在光纤内全反射所应满足的条件。n1n2分别为纤芯和包层的折射率,n0为光纤周围介质的折射率。要使光能完全限制在光纤内传输,则应使光线在纤芯-包层分界面上的入射角ψ大于(至少等于)临界角ψ0,即

图片

再由

图片

图片

由此可见,相应于临界角ψ0的入射角φ0,反映了光纤集光能力的大小,称为孔径角。
n0sinφ0则定义为光纤的数值孔径,一般用NA表示,即

图片

上式中,NA的下标“子”表示是子午面内的数值孔径。
对于芯径较大(多模)的阶跃折射率光纤,使用上式可以直接计算出NA
NA也可以由实验确定,通过追踪远场光束分布并测量光束中心与光强为最大光强5%的点之间的角度即可;但是,直接计算NA得出的值更为准确。
由于子午光线在光纤内的传播路径是折线,所以光线在光纤中的路径长度一般都大于光纤的长度。由图2中的几何关系,可得长度为L的光纤中,其总光路的长度S'和总反射次数n'分别为

图片

上式中,S和η分别为单位长度内的光路长和全反射次数,a为纤芯的半径,其表达式为

图片

以上关系式说明,光线在光纤中传播的光路长度只取决于入射角φ和相对折射率n0/n1,而与光纤直径无关;全反射次数则与纤芯直径2a成反比。
显而易见,反射次数愈多,光能损失愈大。
2)斜光线的传播
光纤中不在子午面内的光线都是斜光线它和光纤的轴线既不平行也不相交,其光路轨迹是空间螺旋折线。此折线可为左旋,也可为右旋,但它和光纤的中心轴是等距的。

图片

3:斜光线的全反射光路

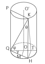
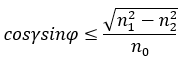
由图3中的几何关系可求出斜光线的全反射条件。图中QK为入射在光纤中的斜光线,它与光纤轴OO'不共面;HK在光纤截面上的投影,HTQTOM_QH。由图中几何关系得斜光线的全反射条件为

图片

再利用折射定律,可得在光纤中传播的斜光线应满足

图片

斜光线的数值孔径则为

图片

由于cosγ≤1,因而斜光线的数值孔径比子午光线的要大。
由图3还可求出单位长度光纤中斜光线的光路长度S和全反射次数η

图片

3. 光纤中传播的模式
1)光纤模式的概念
所谓模式,是指能够独立存在的电磁场的场结构形式。
光纤中传播的模式是由于在光纤中传播的光波是由子午射线、斜射线构成的光波,还有由不规则的界面反射来的光波,这些光波在纤芯中互相干涉,在光纤截面上形成各种各样的电磁场结构形式,这就是模式,或简称模。
我们通常看到的光斑是电磁场结构的图像,光纤中模式的场结构,是用模式的场型分布来表示的,不同的模式具有不同的场型分布,即具有不同的场结构。
2)各模式的截止频率及截止条件
导波,应限制在纤芯中以纤芯和包层的界面来导行,沿轴线方向传播。若光导波在芯包界面的入射角等于产生全反射的临界角(φ=ψ0),光波的电磁场能量不能有效地封闭在纤芯内,而向包层辐射,此状态称导波截止的临界状态。若(φ<ψ0),光波能量不再有效地沿光纤轴向传播,而出现了辐射模,此状态为导波的截止状态。
光纤波导有一个重要参数,即归一化频率。其表达式为

图片

上式中,a为纤芯半径,λ为传输光波的波长,n1n2分别为纤芯和包层的折射率,k0=2π/λ=ω/c为自由空间平面波的波数。
归一化频率 V 是一个直接与光的频率成正比的无量纲的量,故得此名称。它决定于光纤的结构参数an1n2以及自由空间波数k0,又称光纤的结构参数。
V 值的大小决定了光纤中传输模式的数量,各模式都有其本身的归一化截止频率,描述了各模式的截止条件,用Vc表示归一化截止频率。
用实际光纤的归一化频率V 与各模式的归一化截止频率Vc相比,若V大于某一模式的Vc,这种模式能在光纤中导行;反之若V小于某一模式的Vc,那么,该模式处于截止状态。
所以,导模在光纤中的导行、截止和临界条件为
导行条件:VVc
截止条件:VVc
临界条件:VVc

图片

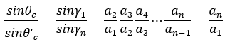
4:阶跃型光纤LPmn模的Vc

由图4中看出,LP01模(m0n1)的Vc0,说明LP01模在任何情况下均可以传输。与 LP01模的Vc最邻近的模为LP11模,其 Vc2.40483,以下依次是 LP21LP02、…,总之是模次越高,相应的Vc越大。
当光纤的归一化频率V满足VVc2.405时,光纤中包括LP11模在内的所有高阶模都被截止,此时光纤中只剩下基模LP01模,这种情况称为光纤的单模传输。因此,保证阶跃型光纤单模传输的条件是

图片

此外,对于梯度光纤,经研究,其第一高阶模的截止频率 Vc值,主要与该光纤折射率分布指数g有关,其近似公式为

图片

显然,对于阶跃型光纤,g=∞,则Vc2.405,说明阶跃光纤是梯度光纤的一个特例。
3)截止波长
与截止频率对应的是截止波长,它给出了保证单模传输的光波长范围。
光纤实现单模传输的条件是光纤的归一化频率(V)小于归一化截止频率(Vc2.405)。

图片

λc表示次低阶模得以传输的最大波长,称为理论截止波长。若要实现单模传输,则须光纤的工作波长λ>λc,此时只有LP01模在光纤中传输,从而实现单模传输。
4)光纤中传播的模式
V2.405 时,阶跃光纤的单模传输条件即被破坏,这样,光纤中可存在多种模式,这种情况称为光纤的多模传输。
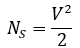
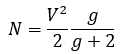
从理论分析可知,多模光纤允许传输的模式总数由光纤的归一化频率V和折射率分布指数g来决定。
光纤传导模的总数为

图片

g的取值不同,则光纤折射率不同,传输的模数量也就不同。
对阶跃多模光纤,g=∞,光纤传输的模式总数近似为

图片

g2的渐变型多模光纤,光纤传输的模式总数近似为

图片

4.入纤方式
1)多模光纤未充满条件
对于在NA较大时接收光的多模光纤来说,光耦合到光纤的条件(光源类型、光束直径、NA)对性能有着极大影响。
在耦合界面,光的光束直径和NA小于光纤的芯径和NA时,就出现了未充满的入纤条件。这种情况的常见例子就是将激光光源发射到较大的多模光纤。

图片

5:多模光纤未充满的情况

未充满时会使光在空间上集中到光纤的中心,优先充满低阶模,而非高阶模。因此,它们对宏弯损耗不太敏感,也没有包层模。这种条件下,所测的插入损耗也会小于典型值,光纤纤芯处有着较高的功率密度。
2)多模光纤过满条件
在耦合界面,光束直径和NA大于光纤的芯径和NA时就出现了过满的情况。实现这种条件的一个方法就是将LED光源的光发射到较小的多模光纤中。

图片

6:多模光纤过满的情况

过满时会将整个纤芯和部分包层裸露在光中,均匀充满低阶模和高阶模,增加耦合到光纤包层模的可能性。高阶模比例的增加意味着过满光纤对弯曲损耗会更为敏感。在这种条件下,所测的插入损耗会大于典型值,与未充满光纤条件相比,会产生较高的总输出功率。
多模光纤未充满或过满条件各有优劣,这取决于特定应用的要求。如需测量多模光纤的基准性能,建议使用光束直径为光纤芯径70-80%的入纤条件。过满条件在短距离时输出功率更大;而长距离(>10-20m)时,对衰减较为敏感的高阶模会消失。
5.多模光纤的输出光斑
单模和多模光纤在远场的输出光斑。单模光斑接近高斯形,而多模光斑则看起来比较复杂。假设把相干激光耦合到多模光纤中,所有模式在较大的纤芯中发生相长或相消干涉,由此形成散斑。但单模光纤的输出没有散斑效应,而是几乎完美的高斯形,并且和耦合条件无关。单模光纤还能用于模式滤波,将混模光束耦合到单模光纤中,光纤将输出漂亮的高斯光束。

图片

7:多模光纤输出的自由空间光束。

图片

8:单模光纤输出的自由空间光束。
6.多模光纤的接收角
对于阶跃折射率多模光纤,纤芯上每个点的最大接收角都是一样的。但是,渐变折射率多模光纤只有纤芯中心处才能提供最大的入射角。距离中心越远,最大接收角越小,在包层界面附近的最大接收角趋近于0

图片

9:阶跃和渐变折射率多模光纤的对比

对于阶跃折射率多模光纤,如果入射光线角度小于等于|θmax|,就能被阶跃折射率多模光纤高效耦合。纤芯径向上每个点的最大接收角都是一样的,如图10所示。

图片

10:阶跃折射率多模光纤的接收角
对于渐变折射率多模光纤,因为纤芯折射率随径向距离变化,所以接收角也随径向距离变化。纤芯中心处的接收角最大,而包层边界附近的接收角趋近于零,如图11所示。

图片

11:渐变折射率多模光纤的接收角

阶跃折射率多模光纤能接收更多的光。渐变折射率多模光纤中所有导模具有相似的传播速度,可以降低光束传播过程中的模式色散。
如果应用中要求在多模光纤中耦合尽可能多的光,并且受模式色散影响较小,阶跃折射率多模光纤可能是更好的选择。反之应该考虑渐变折射率多模光纤。
7. LD与多模光纤的耦合
LDLaser Diode,激光二极管)通常采用的是量子阱结构,为了降低阈值有源层很薄,厚度只有1um左右,有源区的宽度一般在几十至几百微米之间,这个宽度直接关系到激光器的输出功率。宽度越宽,输出功率相应增大,反之宽度越窄,输出功率越低,其结构导致所发出的光束不对称,致使激光器光束的发散角很大,从而形成了椭圆形的不均匀光斑。
LD光束本身的不对称性、光斑的不均匀性给光纤耦合带来了不小的难度,从而影响LD的耦合效率。
LD光纤耦合的方式有很多,大体分为两种,对光纤的端面进行处理,使光束直接耦合入光纤,这种方式叫直接耦合;在LD与光纤之间加透镜系统,使光束更好地进入光纤,这种方式叫间接耦合。
1LD的耦合条件
如果想让LD耦合入光纤,那么就要有两个条件需要满足
a)输出激光的光斑尺寸要小于光纤纤芯的直径;
b)光束的发散角小于2arcsin(NA)
公式表达如下:

图片

2LD耦合的指标
光纤耦合的指标主要有
a)总输出功率,即光纤最后输出总的光功率P
b)光功率密度,即单位面积输出的光功率P/S
c)亮度,即单位面积的单位角度内的光功率P/(S·Ω)
d)耦合效率,即光纤输出总的光功率与LD总的输出功率之比η=Pfiber/PLD
3LD的直接耦合
a)平端面光纤直接耦合
如图12所示,直接耦合就是把端面已处理的光纤直接对向LD的发光面。

图片

12LD和平端面光纤直接耦合

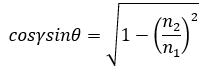
这时影响的耦合效率的主要因素是:LD的发光面积和光纤纤芯总面积的匹配以及LD的发散角和光纤数值孔径角的匹配。对于多模光纤,只要光纤面离LD发光面足够近,LD发出的光都能照射到光纤端面。例如,对于数值孔径NA=0.14的多模光纤,其孔径角2θc约为16°,在平行于PN结方向,LD的发散角2θ5°-10°,只要距离S适当,全部功率都能进入光纤;而在垂直于PN结方向,只有2θc内的光才能进人光纤,这种情况下的耦合效率较低。
b)球端面直接耦合
如图13所示,直接把光纤端面做成一个半球形,这样的效果是增加了光纤的孔径角。

图片

13LD和球端面光纤直接耦合

此时,球端面光纤的等效接收角θc

图片

上式中,r为球面的半径,a为纤芯的半径。
球端面光纤可以显著地增加,从而增加耦合效率。对于同一多模光纤,可把耦合效率从平端面的24%提升到球端面的60%以上。
c)柱透镜端面直接耦合
柱透镜光纤是楔形透镜光纤的一种,它的形状类似于柱透镜与铲形光纤的结合,如图14所示,它可以压缩垂直于异质结方向的光,同时平行于异质结方向的光不变,使LD输出的光斑与圆形相接近。

图片

14:柱透镜光纤直接耦合

柱状楔形微透镜是基于楔形微透镜的一种新型透镜,它是柱透镜光纤与楔形角的组合,可以增加LD光束进入光纤的角度来提高激光与光纤的耦合效率及其适配的容忍度。它是对发散角较大的LD光束快轴方向准直,LD光束慢轴方向发散角不变。
d)圆锥端面直接耦合
如图15所示,把光纤的前端用腐蚀的方法或熔烧拉锥的办法做成圆锥端面。

图片

15:圆锥端面光纤直接耦合

前端半径为a1,光纤本身的半径为an。当光从前端以θ角入射到光纤,经折射后以角γ1射向芯包分界面,由于界面是斜面,所以γ1>γ,如果锥面坡度不太大,即圆锥长度l>>an-a1)时,则近似有

图片

由此可得有圆锥时的孔径角θc和评断光纤的孔径角θ′c之间的关系如下:

图片

上式说明,有圆锥端面的光纤的数值孔径比平端面光纤增加了an/a1倍。
实验结果表明,用圆锥端面光纤的耦合效率可高达92%,对于多模光纤耦合是一种很有效的方法。
此时,要求圆锥端面的前端直径2a1LD的发光面大,以获得最佳耦合效率。
4LD的间接耦合
间接耦合中的光纤与各元件之间是分立的,也被称为分立式耦合系统。这个分立的系统可以是单个透镜,也可以是多个透镜,但是要求LD、耦合透镜系统以及光纤的相对位置精确,从而有很高的耦合效率。
a)柱透镜间接耦合
如图16所示,利用柱透镜可把LD发出的光进行单方向会聚,使光斑接近圆形以提高耦合效率,也可利用球透镜和柱透镜的组合进一步提高耦合效率。

图片

16:柱透镜间接光纤耦合

b)圆柱透镜间接耦合
如图17所示,圆柱形透镜可以很好的将光束会聚,结构简单并且价格便宜,是一种常用的耦合透镜,可利用圆柱透镜和球透镜的组合进一步提高耦合效率。
实际应用中,也可以将多模光纤的涂覆层去掉后,将光纤侧向摆放替代圆柱透镜。

图片

17:圆柱透镜间接光纤耦合

c)自聚焦透镜间接耦合
如图18所示,自聚焦透镜是一种变折射率的小型透镜,它是在玻璃基棒内用离子热交换技术形成径向的折射率分布而制造成的,它的准直能力是通过折射率的渐变而形成的,透镜的焦距取决于透镜的长度,也称为GRIN透镜。

图片

18:自聚焦透镜间接光纤耦合

d)组合透镜间接耦合
组合透镜耦合很显然是激光器通过两种或者多种透镜组对光束准直而耦合入光纤。一般组合透镜耦合系统多数是用球透镜、圆柱透镜、自聚焦透镜等相互排列组合在一起的系统,这种组合透镜系统在大大提高了耦合效率。但是这种耦合系统需要精密的调整,操作难度大。
8. LED与多模光纤的耦合
LEDLD从耦合的角度来看,主要差别是:LED是自发辐射,光发射的方向性差,近似于均匀的面发光器件,其发光性能类似于余弦发光体;LD为受激辐射,光反射方向性好,光强分布为高斯分布。
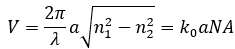
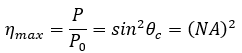
讨论耦合问题时,可把LED看作均匀的面发光体(即朗伯型光源),它在半球空间所发生的总光功率为P0,即

图片

上式中,B为光源的亮度(单位面积向某方向单位立体角发出的光功率)AE为发光面积;θ为光线与发光面法线的夹角,如图19所示。

图片

19LED光功率分布示意图

当发光面AE比光纤截面小时,在空间一点P处,面积为dS内所能得到的光功率为

图片

再利用

图片

即可求出光纤在孔径角θc内所接收到的光功率为

图片

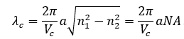
由此得到LED和多模光纤直接耦合时的最大耦合效率为

图片

另外,LED和光纤的间接耦合方式与LD和光纤的间接耦合方式类似,在此不再赘述。

参考资料:
1)原荣《光纤通信》
2)廖延彪,黎敏,夏历《光纤光学》
3)王健《导波光学》
4Thorlabs索雷博官网《多模光纤教程》
5)隋一哲《半导体激光器与小芯径光纤耦合模块的研究》
6)战利伟《半导体激光器光纤耦合设计》


阅读453
分享